首页 > 企业新闻 > 【助力科研】恭喜!喜提ACS Catalysis封面文章!
【助力科研】恭喜!喜提ACS Catalysis封面文章!
2026-02-05
企业新闻
去分享

新年伊始,恭喜中国工程物理研究院肖超/彭述明论文喜提ACS Catalysis封面文章!


论文标题:


PdOx Versus Pd for Lean Methane Combustion:Low-Temperature CO-FTiRS pectroscopy Combined with Operando FTIRS pectroscopy

研究背景:甲烷作为清洁能源,燃烧产物相对清洁,但未燃烧的甲烷温室效应是CO2的28–36倍。催化完全氧化是消除甲烷排放的关键技术。负载型钯基催化剂是低温甲烷催化氧化最活泼的催化剂,但活性相究竟是氧化钯(PdOx)还是金属钯(Pd0)长期存在争议:多数研究认为贫燃条件下PdOx是活性相,部分学者则主张低温下Pd0更活泼,也有观点认为Pd与PdOx的界面是活性中心。传统表征手段(XPS、XRD、XAS)在探测活性相时,不可避免地会受到表层原子以下原子信息的干扰,无法准确反映催化反应发生的 “顶层原子”状态。而CO-FTIR光谱学方法采用CO作为探针分子,能准确探测表面原子的状态,为解决这一争议,提供了可靠的表征手段。


image.png




本文亮点


1. 利用表面敏感的低温CO-FTIR光谱学方法,发现不论Pd催化剂的起始状态为Pd0还是PdOx,在反应起燃后,催化剂表面均转化为氧化态PdOx(Pd2+或Pd+);

2.对于Pd/silicalite-1催化剂,工况红外光谱(Operando FTIR)采用甲烷氧化过程中的CO中间体作为探针分子,亦识别反应表面活性相为PdOx。证明低温CO-FTIR结果的可靠性。

3. Pd0在反应条件下随反应温度提高,经历一个由表面到内部的逐步氧化过程。


设计思路

1.制备两类对比催化剂:Pd/Al2O3(PdAl系列,Pd为纳米颗粒)与Pd/silicalite-1(PdSil,Pd 被沸石孔道限制为超小簇,silicalite-1为MFI型分子筛);

2.设计三种预处理状态:氧化态、还原态(Pd0)、再氧化态,模拟实际反应中催化剂的可能初始状态;

3.采用低温CO-FTIR(−130 ℃)核心技术:避免CO还原PdOx,精准探测“顶层表面”(催化反应真实发生区域)的Pd价态,XRD(探测体相~20μm)、XPS(探测表层~5nm)均有一定探测深度。最后关联operando FTIR光谱结果,再次证明低温 CO-FTIR光谱法的可靠性。

全文速览


1. 低温CO-FTIR

在图1中,新鲜催化剂在2158cm−1出现PdOx特征峰,还原后(PdAl(2)-R)出现Pd0的2098、1982cm−1 峰,PdAl(2)、PdAl(2)-R、以及PdAl(2)-Ro(再氧化)经过400℃反应老化后,峰位回归2154cm−1(归属于CO-PdOx),证明无论催化剂的起点是什么状态,在催化甲烷氧化过程中都会转化为氧化态,因此其真实活性相为PdOx;图2证明PdAl(2)-R在经历250 ℃ 催化反应后,纳米颗粒表层的Pd原子已经完全转变成PdOx

image.png

 图1. (a) 预处理后的PdAl(2)和(b) PdAl(2)-R的低温CO-FTIR光谱


image.png

图2.(a)PdAl(2)和(b)PdAl(2)-R经历250–350 °C老化后的低温CO-FTIR光谱


PdSil的低温CO-FTIR光谱更复杂(图3),2187cm−1(单原子Pd2+)、2157cm−1(Pdcᵤₛ)、2134 cm−1(Pd⁺)等峰表明PdSil含多种PdOx物种,PdSil-R(金属态)只存在Pd0特征峰。PdSil、PdSil-R、以及PdSil-Ro(再氧化)经反应老化后完全消失,也证明纳米簇型的催化剂的活性相也为PdOx

image.png

图3. (a)预处理后的PdSil和(b)PdSil-R的低温CO-FTIR光谱


2. XPS与XRD价态分析

利用XPS对PdAl(2)和PdSil进行了价态分析,发现金属态PdAl(2)催化剂,经过250 ℃反应后,存在50%的金属Pd,而CO探针红外光谱表明不存在金属Pd,这说明XPS具有一定的测试深度,会受到体相Pd的影响,凸显了CO-FTIR的优势——只对表层Pd原子的价态产生响应。



image.png

图4. PdAl(2)和PdSil的XPS数据



PdAl(2)和PdSil上,Pd的负载率低,在载体上分散性好,无法在XRD图谱上观察到Pd或者PdO的衍射峰。将Pd的负载率提高一倍,制备更高负载率的PdAl(4),图5是PdAl(4)的XRD图谱,显示金属Pd在反应过程中是逐步氧化的,结合CO-FTIR光谱,可以得出结论:金属Pd纳米粒子的氧化从外层开始,然后形成了PdO包裹金属钯的核壳结构,最后完全氧化。与XRD相比,CO-FTIR光谱不受体相Pd原子的干扰。


image.png


 图5.新鲜和预处理后的PdAl(4)的XRD


3.工况红外光谱(Operando FTIR)

图6是PdSil催化甲烷氧化的原位红外光谱,在2127 cm–1处观察到一个吸收峰,这归属于CO在Pd+上的伸缩振动。这是一个非常有趣的现象——因为原料气中只有甲烷、氧气和氮气,不存在CO,说明CO是反应中间体。但CO中间体很不稳定,因此很多研究者更容易观察到甲酸盐的积累。前面我们在低温CO-FTIR也观察到了Pd+,并随着温度升高,Pd+的信号逐渐减弱,与operando FTIR一致,证明低温CO-FTIR光谱的结果真实有效。


image.png

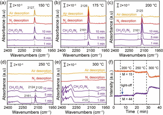
 图6. PdSil催化甲烷氧化的operando FTIR光谱(a-e)和质谱



为了进一步确定CO中间体,我们补充了CO与CH4的联合原位实验,前五分钟是甲烷、氮气、氧气的混合气,在图7b上观察到位于2124和2161 cm–1吸收峰,5 min后(额外引入CO)这两处吸收峰明显增强,这说明将2124 cm–1归属为CO的伸缩振动是合理的。也说明甲烷在原位反应过程中产生了CO中间产物,并且吸附在Pd表面,充当了探针分子。我们又排除了载体的影响(图7c)。


image.png


 图7. PdSil催化CO氧化和催化CO/CH4氧化的operando FTIR


对PdSil催化机理进行了探究,在CH4/N2中展开原位红外实验 ,尽管原料气没有O2存在,但在150 ℃ 仍观察到了CO中间体,温度升到175 ℃,又在2090 cm–1出现了Pd0的信号。以上数据说明PdO的晶格氧可以参与甲烷的氧化,反应可能遵循MvK机理。


image.png


 图8. PdSil在CH4/N2中的operando FTIR


PdAl(4)的原位光谱与PdSil存在明显差异,通入CH4、氧气、氮气后,图9a、b没有观察到CO的特征峰,说明PdAl(4)在催化过程无法有效积累CO,这可能是反应路径不同,或CO中间体更不稳定。但仍可以通过额外引入CO的方式,证明PdO仍是活性相。单独的Al2O3吸附实验排除了载体的影响(图9c、d)。


image.png



图9. PdAl(4)催化甲烷和CO氧化的原位红外光谱(a-e)和质谱图(e)


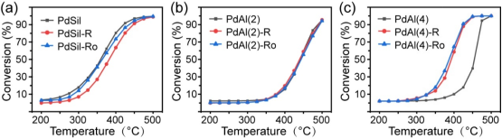
图10中,金属态和还原再氧化后的起燃曲线基本重合,这种现象符合“氧化态的Pd是活性相”的结论。PdAl(4)在经过还原后,活性有明显的提高,这可能是钯物种在“还原再氧化”过程中发生了表面重构。


image.png



图10.(a)PdSil、(b)PdAl(2)和(c)PdAl(4)催化剂的氧化态、金属态的甲烷起燃曲线


总结与展望

1. 钯活性相明确:甲烷催化氧化中,钯催化剂的活性相是氧化态PdOx(Pd2+或Pd+),与初始状态无关,反应温度≥250 °C时顶层表面完全转化为PdOx

2. 表征技术突破:低温CO-FTIR是探测催化剂顶层表面状态的精准工具,克服了传统技术的局限,且适用性优于Operando FTIR(不受温度和催化剂类型限制);

3. 反应机理:PdOx通过晶格氧参与甲烷活化,遵循Mars−van Krevelen(M−vK)机理,配位不饱和Pd2+是主要活性位点。




完整论文下载链接:

https://doi.org/10.1021/acscatal.5c06324

声明:本文已获得作者授权




产品推荐
HWG63409  四丙基氢氧化铵(25%in water:合成全硅分子筛(Silicalite-1)的重要模板剂,本公司的四丙基氢氧化铵经过特殊工艺去除金属杂质,钠、钠钾含量低至ppm级,极大降低了碱金属阳离子在全硅分子筛生长过程中的影响


image.png

欢迎选购:四丙基氢氧化铵,Tetrapropylammonium hydroxide,4499-86-9-华威锐科官方商城-北京华威锐科化工科技有限公司



作者:未知 来源:未知
去分享
已经是最后一篇
在线客服
销售咨询
18515031260(微信同号)
在线服务时间: 工作日 9:00-18:00